ГОСТ 24392-80
ГОСТ 24392-80
국제 표준
단결정 실리콘 및 게르마늄
4-프로브 방법에 의한 전기 저항 측정
공식 출판물
БЗ 10-99
ИПК 표준 출판사 모스크바
УДК 669.782/.783-172:621.317.33:006.354 그룹 В59
국제 표준
단결정 실리콘 및 게르마늄
ГОСТ 전기 저항 측정 1 1
4-프로브 방법 24392-80
Monocrystalline silicon and germanium.
Measurement of the electrical resistivity by the 4-probe method
ОКСТУ 1770
시행일: 1981년 1월 1일
현재의 표준은 전기적 또는 정공형 전도성의 단결정 실리콘 및 게르마늄 잉곳의 평면 표면에서 4-프로브 방법으로 전기 저항을 측정하는 방법을 규정하고 있으며, 전기 저항 범위는 10-4 Ω·㎝에서 1 · 105 Ω·㎝까지 입니다.
이 방법은 특정 크기의 전류가 동일한 표면에 놓인 두 개의 다른 탐침을 통해 흐를 때 제어된 샘플 표면에 설치된 4-프로브 탐침 장치의 두 탐침 간의 전위 차이를 측정하고, 전기 저항을 계산하는 데 기반하고 있습니다.
(수정된 버전, 수정번호 2).
I. 장비 및 재료
측정 장치의 구조도는 도면에 나와 있습니다.
![]() |
| 4 |
/ - 4-프로브 측정 헤드; 2- 전류 공급원:
3-전기 전압 측정 장치: 4-샘플
측정 장치는 전기 저항 측정 오차가 5%를 초과하지 않는다고 인정받아야 합니다.
1.1. 탄화 텅스텐으로 만든 4개의 선형 프로브가 있는 측정 헤드는 표 1에 나와 있는 요건을 충족해야 합니다.
표 1
| 프로브 간의 명목 간격 cm | 프로브 간의 허용 오차 % | 프로브의 압력 F, N | 프로브의 작업 표면의 선형 크기, μm, 최대 |
| 0.159 | |||
| 0.130 | 11 | 0.50-2.00 | 60 |
| 0.075 | |||
| 공식 출판물 | 재인쇄 금지 |
표준 출판사 ©1980 & 디 П. К. 표준 출판사. 2001
C. 2 ГОСТ 24392-80
1.2. 전류 소스는 측정 회로에서 극성이 변경 가능한 전류를 제공해야 하며, 표 2의 요건을 충족해야 합니다. 표 2
| 상한측 전기 저항 r, Ω·㎝ | 측정 가능한 전류 상한 /, A | 측정 가능한 전압의 상한 V, V | 측정 장비의 입력 저항 Rm, Ω, 최소 |
| 10-3 | 1.0×10-1 | 2.1×10-1 | 1×103 |
| 1×10-2 | 1.0×10-1 | 2.1×10-3 | 1×104 |
| 1×10-1 | 1.0×101 | 2.1×10-3 | 1×101 |
| 1×100 | 8.2×10-2 | 1×10-1 | 1×106 |
| 1×101 | 8.2×10-3 | 1.0×10-1 | 1×107 |
| 1×102 | 8.2×10-4 | 1.0×10-1 | 1×108 |
| 1×103 | 8.2×10-5 | 1.0×10-1 | 2×108 |
| 1×104 | 8.2×10-6 | 1.0×10-1 | 1×109 |
1.2.1. 측정 중 전류의 허용 가능한 불안정성은 0.5%를 초과하지 않아야 합니다.
1.2.2. 전류 세기의 측정 오차는 0.5%를 초과하지 않아야 합니다.
1.3. 전압을 측정하는 장치는 표 2에 나와 있는 요건에 맞춰 1%의 오차를 초과해서는 안 됩니다.
1.4. 측정 회로의 절연 저항은 측정 장비의 입력 저항보다 커야 합니다.
1.5. 보조 장치 및 재료
측정 오차가 0.5°C 이하인 온도계.
ГОСТ 3647에 따른 연마재.
ГОСТ 9206에 따른 다이아몬드 분말로 만든 다이아몬드 공구.
다이아몬드 분말.
ГОСТ 12026에 따른 여과지.
흡수지.
ГОСТ 2929에 따른 표백된 천.
포장용 청소 용품, 직물 품목 6313 또는 6304.
ГОСТ 2874에 따른 식수.
ГОСТ 18300 기준의 에틸 알코올.
위에 언급된 것과 동등한 특성과 품질을 가진 도구와 재료의 사용을 허용합니다.
2. 샘플 준비 및 측정 조건
2.1. 측정은 ГОСТ 2789에 따라 거칠기 매개변수 Ra가 2.5 μm를 초과하지 않는 평면 표면에서 수행됩니다. 전기 전도도 P-타입 P가 104 Ω·㎝를 초과하는 경우 실리콘의 저항 측정은 거칠기 매개변수 R의 범위에서 수행됩니다.
2.1. 충분한 표면 거칠기를 보장하기 위해 샘플은 연마재나 다이아몬드 분말을 사용하는 다이아몬드 공구로 연마합니다.
2.1.2. 연마 후 샘플은 흐르는 식수 또는 정제수를 사용하여 세척하고, 필터지 (또는 흡수지) 또는 다른 재료로 건조한 후, 알코올로 탈지합니다.
2.2. 측정 시, 가장자리(평면 경계)와 가장 가까운 탐침 사이의 거리는 최소한 4 /0 이상이어야 합니다. 여기서 /0는 탐침 간 거리의 명목상 값입니다.
2.3. 주괴의 형성에 따른 전기 저항을 측정할 때 측정 트랙의 너비는 적어도 6 /0이어야 합니다.
2.4. 측정은 고정된 온도(23±2) 'C에서 수행됩니다. 제어 표본은 측정이 수행되는 온도로 맞춰집니다. 측정은 고정 온도에서 ±0.5 'C의 오차 범위 내에서 (23±5) «C의 범위에서 허용되며, 측정 결과의 온도 보정은 첨부된 지침에 따라 수행됩니다.
2.5. 저항이 45 오움센티미터 이상인 게르마늄과 200 오움센티미터 이상인 실리콘의 전기 저항 측정은 샘플의 명암 변화에서 수행됩니다. 다른 저항 범위의 경우, 샘플에 500 룩스 이하의 산란광이 허용됩니다.
3. 측정 및 결과 처리
3.1. 샘플의 표면에 장착된 탐침은 측정 헤드의 탐침이 표면에 수직으로 부드럽게 내려옵니다.
3.2. 샘플을 통해 전류 /를 통과시키고, 전류의 두 극성에서 내부 탐침 사이의 전위차를 측정합니다. 전위차 U의 측정값으로 계산된 값을 평균합니다. 전류 값은 표 2의 요구 사항에 따라 설정됩니다.
3.3. 전류 저항값 ρ를 계산하는 공식 (1)을 통해 계산합니다.
여기서 U는 전위차의 값입니다.
/는 측정이 수행된 전류의 값입니다.
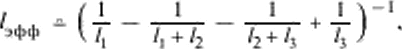
/, φφ는 공식 (2)에 따라 계산된 탐침 간 거리의 유효값입니다

(2)
여기서 /, /2, /3는 첫 번째와 두 번째, 두 번째와 세 번째, 세 번째와 네 번째 탐침 사이의 거리입니다.
측정 오차가 명목값 /0에서 ±1%를 넘지 않는 경우, 사중 탐침 헤드를 사용할 때 (2) 공식에 / = /0 값을 넣습니다.
3.4. 자동화 도구를 사용하여 이 표준에 명시된 알고리즘에 따라 측정 및 결과 처리를 수행 할 수 있습니다.
섹션 1-3. (수정된 버전, 변경 번호‑2).
4. 측정 결과의 제시 및 정밀도 지표의 기준
4.1. 측정 결과는 공식 (I)을 통해 계산된 전기 저항의 값입니다.
4.2. 측정의 무작위 오차 구성 요소는 결과의 일치성을 특성화하며 신뢰할 수 있는 확률 P = 0.95에서 ±2%를 넘지 않습니다.
4.3. 총 측정 오차는 103 오움센티미터 미만의 샘플 제어시 ±5%를 넘지 않으며, 전기 저항이 103 오움센티미터 이상일 경우, 신뢰도 확률 P = 0.95에서 ±8%를 넘지 않습니다.
4.4. 전기 저항 측정 결과는 첫 번째 숫자가 1, 2, 3이면 세 자리 숫자로, 첫 번째 숫자가 3보다 크면 두 자리 숫자로 표기됩니다.
섹션 4. (추가됨, 변경 번호‑2).
페이지 4
부록
필수적인
전기 저항 측정 결과는 온도
(약) 23 'C로 계산됩니다
ρ (3)
0 *! — C (/-%)'
여기서 ρ는 전기 저항입니다. 오움센티미터;
C- 온도 계수 (표 1, 2);
/ — (23±5) 4 C 범위의 명목 온도; ρ는 23 'C에서의 전기 저항입니다. г*
전기 저항 측정 결과는 (23±5) «C 범위 내의 임의의 명목 온도로 환산될 수 있습니다.
표 I
| 실리콘의 온도 계수 | 특정 전기 저항의 측정값 | o s p v | |||||
| 0.0001 -0.004 | 0.004 — 0.04 | 0.04−0.1 | 0.1−1.0 | 1.0−10.0 | 10,0−10000 | ||
n형, 1/° |
0,002 | 0.001 | 0.004 | 0.006 | 0.008 | 0.008 | |
p형, 1/° |
0.001 | 0.001 | 0,003 | 0.006 | 0,008 | 0.009 | |
표 2
| 게르마늄의 온도 계수 | 특정 전기 저항의 측정값. | 오움센티미터 | |||||
| 0.0001−0.001 | 0.001−0.01 | 0.01−0.1 | 0.1−1.0 | 1.0−10 | 10−100 | ||
| n형, 1/° | 0,002 | 0,001 | 0,004 | 0.006 | 0.006 | 0.006 | |
| p형, 1/° | 0,002 | 0.002 | 0,004 | 0.007 | 0,008 | 0.008 | |
부록. (수정된 버전, 변경 번호‑2).
ГОСТ 24392–80 페이지 5
정보 데이터
1. 소련 금속 산업부에 의해 개발 및 제출됨
2. 소련 국가 표준위원회의 결의서에 의해 승인되고 시행됨
3.
4. 최초 시행
5. 참조 규정 기술 문서
| 참고된 NTD의 식별. 참조가 된 위치 | 번호 | 참고된 NTD의 식별. 참조된 위치 | 번호 |
| ГОСТ 2789–73 | 2.1 | ГОСТ 12026–76 | 1.5 |
| ГОСТ 2874–82 | 1.5 | ГОСТ 18300–87 | 1.5 |
| ГОСТ 3647–80 | 1.5 | ГОСТ 29298–92 | 1.5 |
| ГОСТ 9206–80 | 1.5 |
6. 유효기간 제한이 표준화, 계측 및 인증에 관한 정부 간 조정 회의 제5-94호 의사록에 따라 제거됨 (МУС 11−12−94)
7. 1985년 5월과 1990년 6월에 승인된 변경 번호 1, 2와 함께 2001년 3월에 발행됨 (ИУС 8−85, 10−90)
편집자
라이센스 번호: 1) 2354
학수 한정. 0.50. 인쇄부수 117 부. 페이지 816. 주문 455.
표준 출판사 107076. 모스크바. Kolodeznik per... 14.
전자 출판 및 인쇄소 "Moscow Printer"의
FPR 080102
